1/12/2022
Desde que el grupo de Fischer completó la primera síntesis de la molécula de dipéptido en 1901, la síntesis de péptidos tiene una historia de más de 100 años. Con la creciente demanda de péptidos en los campos del desarrollo de fármacos y la química de materiales, la investigación sobre estrategias de síntesis de péptidos ha logrado muchos avances.
Desarrollo de péptidos:
Desde que el grupo de Fischer completó la primera síntesis de la molécula de dipéptido en 1901, la síntesis de péptidos tiene una historia de más de 100 años. Con la creciente demanda de péptidos en los campos del desarrollo de fármacos y la química de materiales, la investigación sobre estrategias de síntesis de péptidos ha logrado muchos avances.
La racemización en la síntesis de enlaces peptídicos siempre ha sido un problema importante y uno de los puntos críticos de la química de los péptidos. La formación de enlaces peptídicos requiere la activación de los ácidos carboxílicos, y los intermedios de ácido carboxílico activados, así como el posterior proceso de condensación, pueden conducir a la racemización.
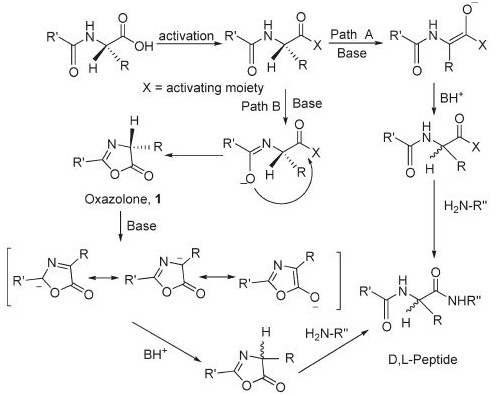
Mecanismo de racemización:
Una investigación en profundidad reveló que existen dos mecanismos para esta racemización. El primer mecanismo es la racemización directa: el protón de hidrógeno se extrae directamente del carbono α (Ruta A); el segundo mecanismo es a través del proceso del anillo de oxazol: se captura el protón de hidrógeno α del anillo de oxazol (Ruta B). El mecanismo de racemización se muestra en la siguiente figura:

Figura 1: Mecanismo de racemización (A) racemización directa; (B) racemización mediante anillo de oxazol
Factores que afectan la racemización:
Hay tres factores principales que afectan la racemización de los enlaces peptídicos:
(1) El factor de álcali;
(2) factores aditivos;
(3) Factores del agente condensante.
Uno: factor alcalino
Carpin o et al. descubrió en los años 1990 que la basicidad y el impedimento estérico de las bases orgánicas tienen una gran influencia en la racemización. Las bases orgánicas más utilizadas en reacciones de condensación de péptidos sonN,N-diisopropildietiletilamina(DIEA), N- metilmorfolina (NMM) y 2,4,6-colidina(TMP, Collidina). Entre ellos, la N,N-diisopropiletilamina es más básica (pKa
La siguiente figura muestra la tasa de racemización de los derivados del aminoácido anhídrido del ácido N-carboxílico (NCA):


Los resultados de los derivados de anhídrido de ácido N-carboxílico de aminoácidos racemizados con diferentes bases orgánicas y luego condensados con bencilamina se muestran en la siguiente figura:


Este resultado muestra que la 2,4,6-colidina (TMP, Collidine) produjo el producto menos racémico.
En otro informe, Carpino et al. encontraron resultados similares en el acoplamiento de fragmentos polipeptídicos. La 2,4,6-colidina (TMP, Collidine) produjo los productos menos racémicos. En esta reacción, una condensación del dipéptido Z-Phe-Val-OH con clorhidrato de éster metílico de alanina (H-Ala-OMe.HCl) siempre da como resultado la menor racemización de TMP, independientemente del agente de condensación utilizado.
La racemización de la síntesis del fragmento peptídico Z-Phe-Val-Ala-OMe (2+1) se muestra en la siguiente figura:


En segundo lugar, los factores aditivos.
Agregar aditivos es un método común en la síntesis de péptidos, que puede aumentar el rendimiento y reducir las reacciones secundarias de la racemización; especialmente cuando se usan agentes de condensación de tipo carbodiimida, como DIC, agregar aditivos es particularmente importante. En la actualidad, los aditivos comúnmente utilizados son principalmente algunos compuestos de benzotriazol (HOXt), incluidos principalmente HOBt, HOAt y 6-Cl-HOBt. Estos compuestos de benzotriazol son altamente ácidos (pKa HOBt: 4,60, pKa HOAt: 3,28, pKa 6-Cl-HOBt: 3,35) y pueden formar intermedios reactivos con ácidos carboxílicos. Sabemos que los agentes de condensación de carbodiimida también pueden formar intermediarios activos con ácidos carboxílicos: compuestos de O-acilisourea. Sin embargo, en comparación con los compuestos de O-acilisourida, el intermedio activo formado por benzotriazol y ácido carboxílico es más estable, lo que puede evitar la reorganización de los compuestos de O-acilisourida en compuestos de N-acilisourida y, por lo tanto, perder la reactividad. Entre los tres aditivos anteriores, HOBt tiene la menor actividad y normalmente la mayor cantidad de reacciones secundarias racémicas. HOAt tiene la mejor actividad y las menores reacciones secundarias de racemización. El efecto de participación de la posición orto del átomo de nitrógeno en la posición 7 en el anillo de piridina de HOAt es el factor clave de su alta actividad.
En los últimos años, el grupo de Albericio desarrolló algunos nuevos aditivos que contienen oximas y los aplicó con éxito a la síntesis de enlaces peptídicos. Los dos aditivos más importantes son 2-oxima cianoacetato de etilo (OxymaPure) y 1,3-dimetilvilinato (Oxyma-B). Cuando se usa en combinación con el agente condensante de carbodiimida DIC, el rendimiento de condensación del cianoacetato de 2-oxima de etilo y el ácido 1,3-dimetilvilínico es comparable al del HOAt, pero la reacción secundaria de racemización es menor. En la reacción de condensación [2+1] más desafiante de fragmentos peptídicos, la 2-oxima cianoacetato de etilo y el ácido 1,3-dimetilvilínico también exhibieron efectos inhibidores de la racemización superiores que HOBt. En experimentos adicionales para validar la racemización, Albericio et al. utilizó síntesis en fase sólida para preparar varios compuestos tripéptidos. Estos tripéptidos contienen algunos aminoácidos que son particularmente propensos a la racemización: serina (Ser), cisteína (Cys) e histidina (His). Se descubrió que el ácido 1,3-dimetilsililo (Oxyma-B) tenía el mejor efecto para inhibir la racemización, incluso mejor que el HOAt y el cianoacetato de etilo 2-oxima (OxymaPure).
La síntesis (síntesis en fase sólida) de Z-Phg-Pro-NH2 se muestra en la siguiente figura:

La condensación (síntesis en fase de solución) del dipéptido Z-Phe-Val-OH y H-Pro-NH2 se muestra en la siguiente figura:

La síntesis en fase sólida del tripéptido H-Gly-AA-Phe-NH2 (AA = Ser, Cys, Cys (Acm) o His) se muestra en la siguiente figura:

Tres, el factor del agente de condensación.
Los reactivos de condensación tienen diversas estructuras y tipos, incluyendo principalmente las siguientes categorías: carbodiimidas, sales de amonio, sales de fósforo, sales de piridinio, quinolinas, fosfatos, etc. HOXt, OxymaPure y Oxyma-B se pueden combinar con algunas sales de amonio o sales de fósforo para convertirse en agentes condensadores independientes. Sin embargo, la mayoría de los agentes condensantes anteriores producirán un alto grado de racemización. Por lo tanto, para inhibir la aparición de racemización, es necesario agregar a la reacción inhibidores de la racemización como HOBt, HOAt y Oxyma para evitar la racemización a través del éster activado formado. Rotación.
Recientemente, el equipo de Gregory L. Beutner de Bristol-Myers Squibb Company informó sobre un sistema de condensación de amida ácida muy eficiente. Las sales de acil imidazolio se han considerado durante mucho tiempo como reactivos de transferencia de acilo muy eficaces y se han utilizado en la síntesis de amidas. La actividad de las sales de imidazolio también es mayor que la de los acil imidazoles. Las sales de acil imidazolio generalmente requieren acil imidazol y reactivos alquilantes fuertes tales como sal de Meerwein, yoduro de metilo, etc., Rapoport et al. informó que la sal de metil imidazolio de nitrógeno análogo de CDI se utiliza para desafiar la condensación de aminas ácidas; sin embargo, la clase de separación de reactivos de reactivos alquilantes altamente reactivos es un desafío en sí mismo. El punto brillante informado por Gregory et al. es que no hay necesidad de aislar sales de acilimidazolio altamente activas, pero una estrategia eficaz para combinar eficazmente TCFH y NMI para generarlo in situ y utilizarlo en reacciones desafiantes de condensación de ácido-amida ha logrado muy buenos resultados. El efecto y el producto pueden conseguir una buena quiralidad. El mecanismo de reacción es el siguiente:

El sistema de reacción puede mantener el 99,9% de la quiralidad de la síntesis de péptidos y el efecto de inhibición de la racemización y el rendimiento son muy buenos, como se muestra en la siguiente figura:

En 2020, la catálisis ACS de Wataru Muramatsu et al. de Japón informó sobre la reacción de condensación de amina-ácido mediada por silano, que también resolvió bien el problema de la racemización. Las condiciones de reacción de este sistema de reacción son muy suaves y la reacción se muestra en la siguiente figura:

El grupo protector de PG en la figura anterior puede ser acetilo, benzoilo y otros grupos. Generalmente es difícil para otros agentes condensantes de este tipo de aminoácido controlar bien la racemización.
referencias:
6. Org. Lett., 2018, DOI: 10.1021/acs.orglett.8b01591.
7. ACS Catal. 2020, 10, 9594-9603
Aquí compartimos nuestros productos relacionados más populares que pueden interesarle. Si tiene alguna pregunta, póngase en contacto con nosotros; nuestros especialistas le responderán en 24 horas.
Rellene el siguiente formulario y nuestro equipo de ventas estará encantado de ayudarle con un presupuesto sobre reactivos de síntesis peptídica.