9/30/2022
La mayor parte de la síntesis de péptidos se logra mediante síntesis de péptidos en fase sólida utilizando métodos de protección Fmoc o Boc; sin embargo, cuando se usa Fmoc-OSu, debido a la formación de impurezas de dipéptido (o tripéptido) y β-alaninamida, en la introducción de un N desprotegido en un aminoácido en el Fmoc parece ser un desafío. Aquí presentamos un método eficiente para la síntesis de Fmoc-Gly-OH basado en el derivado de oxima Fmoc-Amox sin reacciones secundarias.
Fmoc-Amox es económico y Amox se puede eliminar fácilmente después de la reacción, proporcionando así Fmoc-Gly-OH puro sin impurezas o contaminantes dañinos (principalmente dipéptidos o Amox en sí), que se pueden obtener a partir de cromatografía de fase líquida de alta eficiencia y RMN.
En 1963, Merrifield describió un nuevo concepto de síntesis química. Los principios activos (API) de algunos fármacos que se comercializan son TIDES (agentes terapéuticos oligonucleótidos y peptídicos), que contienen hasta 30 o 40 monómeros. Los compuestos se produjeron utilizando un método de fase sólida descrito por primera vez por Merrifield. Aunque el método de síntesis de péptidos en fase sólida (SPPS) fue inicialmente cuestionado en cierta medida por sus colegas europeos, ahora se utiliza ampliamente en la investigación y producción de productos sintéticos.
Como se puede ver en la nomenclatura, todos los aminoácidos tienen al menos dos grupos funcionales: un ácido carboxílico y un grupo amino. Si la actividad del ácido carboxílico C-terminal del aminoácido está cubierta por un grupo polimérico insoluble, el grupo amino se protege temporalmente y luego participa en la reacción paso a paso y de forma continua, incluida la eliminación del grupo protector del grupo amino y luego el acoplamiento con el siguiente par de aminoácidos N-protegido. Sin embargo, en el caso de los aminoácidos trifuncionales, las cadenas laterales están protegidas por grupos protectores permanentes (o semipermanentes). En los primeros años, Merrifield utilizó bencilo (Bn) para la protección a largo plazo y terc-butoxicarbonilo (Boc) como grupo protector temporal, pero tanto Boc como Bn se pueden descomponer en condiciones ácidas: el ácido trifluoroacético (TFA) des-Boc, un ácido fuerte como HF o ácido trifluorometanosulfónico (TFMSA) hidroliza Bn. En la década de 1970, Carpino, quien también propuso el grupo protector Boc, revolucionó el campo de la química de péptidos al proponer el fluorenilmetiloxicarbonilo (Fmoc) como un grupo para proteger temporalmente el grupo amino, es decir, el grupo protector N se puede eliminar con una base, por lo que es ortogonal al grupo Boc. Además, Sheppard y Atherton en Europa, junto con Chang y Meienhofer en los Estados Unidos, desarrollaron al mismo tiempo el método Fmoc/t-Bu, y la reacción se trató con solución de TFA para liberar el péptido. La implementación de este método marca la "civilización" de la síntesis de péptidos, porque el uso del método Boc/Bn requiere químicos capacitados y equipo especial, mientras que a través del método Fmoc/t-Bu, otros laboratorios biológicos también pueden sintetizar péptidos. Además, este método ha permitido la producción de péptidos a escala de kilogramos.
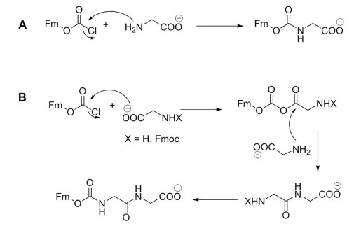
Los primeros aminoácidos Fmoc comerciales se sintetizaron mediante el método de Schotten-Baumann: el aminoácido se hizo reaccionar con Fmoc-Cl en condiciones básicas (Fig. 1A). A principios de la década de 1980, el grupo de Ashish y Bachem y Goodman señalaron que la mayoría de los aminoácidos Fmoc comerciales contienen dipéptidos y tripéptidos. Estas impurezas provienen de la alta reactividad del Fmoc-Cl, que también puede reaccionar con el grupo carboxilo del aminoácido a proteger. Anhídrido, que a su vez puede reaccionar con el extremo amino de otra molécula de aminoácido, lo que da como resultado la formación de un dipéptido. El mecanismo se muestra en la Figura 1B.

Figura 1 Protección Fmoc de aminoácidos
A. Mecanismo de protección Fmoc
B. Mecanismo de formación de dipéptidos protegidos durante la protección de aminoácidos
Teniendo en cuenta que incluso una pequeña proporción de impurezas puede provocar una pérdida de rendimiento y pureza, las partes llegaron conjuntamente a la conclusión de que se debería evitar el Fmoc-Cl. Debido a que estas reacciones secundarias están relacionadas con la masa del grupo saliente, el grupo de Ashish sugirió utilizar Fmoc-N3, también mencionado por Carpino y Han en su artículo. El grupo de Ashish propuso sintetizar Fmoc-N3 con Fmoc-Cl y azida sódica. Para evitar el peligro de la preparación y el almacenamiento de Fmoc-N3, se utiliza ahora. El aminoácido Fmoc sintetizado por este método tiene una mayor pureza. Verlander et al. sugirieron el uso de Fmoc-OSU mediante el cribado de diferentes grupos salientes, mientras que Bolin et al. sugirieron el uso de reactivos de sililación para proteger el grupo carboxilo. Muchos años después, Barlos et al. propusieron un método para preparar aminoácidos Trt a partir de Trt-Cl para evitar la formación de impurezas de éster Trt. Más tarde, Suresh et al. propusieron la preparación de Fmoc-aminoácidos a partir de Fmoc-Cl en presencia de polvo de zinc activado, lo que permitió condiciones neutrales.
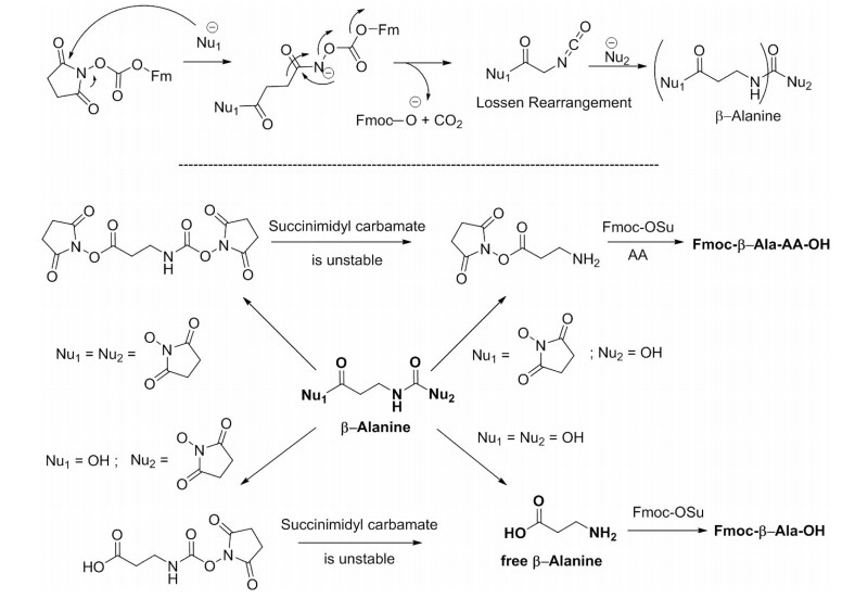
Sin embargo, durante mucho tiempo el método más comúnmente utilizado para la síntesis de aminoácidos Fmoc fue Fmoc-OSu (o NHS), que también fue cuestionado cuando Hlebowicz et al. La investigación de Bachem Europe muestra que el Fmoc-AA-OH preparado usando Fmoc-OSu contiene Fmoc-β-Ala-OH y Fmoc-β-Ala-AA-OH, y estas dos impurezas pasan a través de Lossen después de que OSu ataca a un grupo carbonilo formado por reordenamiento (Figura 2).

Figura 2 Mecanismo de formación de β-alaninamida a través del reordenamiento de Lossen
Estos hallazgos han revigorizado el entusiasmo de la investigación para el desarrollo de nuevos reactivos o métodos para la introducción segura de grupos Fmoc. La Tabla 1 enumera los diferentes derivados de Fmoc utilizados para proteger aminoácidos y sus resultados para la preparación de Fmoc-Gly-OH. Aunque esta reacción se puede utilizar para la protección de todos los aminoácidos, Gly es más obvia debido a su bajo impedimento estérico. Propicio para la polimerización de alta eficiencia. Estos derivados introducidos con Fmoc deben tener dos características clave: (i) ninguna reactividad especial alta, evitando la formación de oligopéptidos; (ii) el grupo saliente suele ser un compuesto hidroxílico sustituido por un aminoácido, que es relativamente estable durante el procesamiento. Más fácil de eliminar. Por lo tanto, el grupo Ashish propuso por primera vez Fmoc-2-mercaptobenzimidazol, que sintetizó derivados de Fmoc con menos oligopéptidos (Tabla 1, #4). Sin embargo, el subproducto 2-MBT liberado en la reacción tiene poca solubilidad y necesita ser eliminado completamente mediante lavado con solventes orgánicos, mientras que los aminoácidos Fmoc también tienen cierta solubilidad en solventes orgánicos, lo que no favorece el rendimiento final. Verlander et al. encontraron un problema similar cuando usaron derivados de (poli)clorofenilo, los alcoholes de solventes orgánicos contaminaron el producto final, lo que resultó en rendimientos generales bajos (4-30%).
También se analizaron derivados de otras succinimidas, como ftalimida, norbornenilo (que es un radical libre derivado del norborneno) y los análogos espiro correspondientes, derivados de seis miembros, etc., pero no tuvieron una ventaja significativa (Tabla 1, #5-7). Simultáneamente, se detectó la formación de β-alanina cuando se combinaron grupos norborneno con EDC para la síntesis de péptidos en fase sólida (SPPS) en agua. Para superar el problema de la intercalación de residuos de β-alaninamida causados por el uso de derivados de succinimida, Najera et al. propusieron un reactivo en forma de polímero, y el contaminante final de β-alaninamida se inmovilizó en el soporte de polímero. Sin embargo, este método limita el uso para preparar pequeñas cantidades de aminoácidos protegidos.

Otras sustancias reactivas que se utilizan comúnmente con compuestos de acoplamiento de carbodiimida, como el pentafluorofenilo (Pfp) o el benzotriazol (Bt), aunque estos reactivos son relativamente caros (Pfp) o explosivos (Bt) (Tabla 1, #8, 9), pero los rendimientos son altos, y algunos laboratorios incluso han investigado los derivados de Fmoc-triazina (Tabla 1, #10) como una forma de sintetizar Fmoc-aminoácidos. Para el método de introducción de Fmoc utilizando una solución acuosa pura, se ha utilizado Fmoc-fenildimetilsulfonio metil sulfato (Fmoc-ODsp), pero no se investigó la formación de dipéptidos (Tabla 1, #11).
Para superar uno de los mayores desafíos en la síntesis de bloques de construcción de péptidos, a saber, la formación no deseada de dipéptidos y tripéptidos durante la protección de aminoácidos, se ha investigado intensamente el enfoque de una gran cantidad de grupos salientes Fmoc. Aunque una pequeña cantidad de reactivos han tenido resultados decentes, casi ninguno de ellos tiene el potencial de ser utilizado en la producción industrial. En este sentido, basándose en la estructura de la oxima aditiva de carbodiimida de uso común, se propuso el derivado del grupo saliente Fmoc Fmoc-Amox. Fmoc-Amox se ha utilizado para proteger H-Gly-OH, que es muy propenso a reacciones secundarias, con un alto rendimiento (93 %), y no hay ningún subproducto en forma de dipéptido Fmoc, lo que se puede ver a partir del análisis de HPLC y RMN. Además, los derivados de Amox se pueden utilizar en el futuro para introducir otros grupos protectores como pNZ, Alloc y Boc.
El grupo Ashish cree que Oxyma es un mejor aditivo que la carbodiimida. Oxyma tiene una fuerte reactividad y se usa cada vez más en la producción industrial de péptidos. El grupo también investigó otros derivados de oxima menos reactivos para introducir el grupo Fmoc, desde el primer tamiz (Tabla 1, #12-16), incluido el N-óxido de 2-hidroxipiridina (HOPO), derivado de Oxyma (Tabla 1, #12) dio un mayor contenido de dipéptido debido a su alta reactividad, seguido por HOPO (Tabla 1, #16). La oxima de cianopiridinio también es un buen aditivo (Tabla 1, #15), pero es cara y difícil de eliminar de la reacción. La formación de dipéptido en el segundo tamiz fue generalmente menor (Tabla 1, #17-20), por lo que el derivado de cianoamida (Amox) (Tabla 1, #20) se eligió como una alternativa a HOSu para introducir Fmoc. El Fmoc-Amox es asequible y se puede eliminar fácilmente después de la reacción, a diferencia del caso del MBT, el Amox tiene una solubilidad de 0,9 M en agua, lo que garantiza que no contamine el aminoácido Fmoc final (Tabla 1, #4).
En términos de formación de dipéptidos Fmoc, H-Gly-OH demostró ser el mejor reactivo para evaluar el rendimiento de Fmoc-Amox debido a su bajo impedimento estérico que favorece una alta proporción de oligomerización. Usando 1 gramo y 40 gramos de dos experimentos paralelos para preparar Fmoc-Gly-OH, los resultados son cercanos, y el proceso de reacción se describe de la siguiente manera: la solución de acetona de Fmoc-Amox se agrega lentamente a la solución acuosa agitada de H-Gly-OH y carbonato de sodio, a través de una separación continua. El carbonato de sodio se agregó por lotes para mantener el pH de la mezcla de reacción a 9-10. La reacción se controló por TLC, así como la estabilidad del pH (una caída en el pH como señal de reacción). Después de que la reacción se completó (4 horas), el disolvente se eliminó y la capa acuosa restante se lavó con DCM, seguido de la adición de HCl 1N (hasta pH <2), lo que resultó en un precipitado blanquecino, que luego se filtró y se trató con acetato de etilo y n-hexano (93%). Después de la recristalización, la pureza de Fmoc-Gly-OH detectada por HPLC fue muy buena. Dado que Fmoc-Gly-Gly-OH preparado por tecnología de fase sólida se eluirá junto con Fmoc-Gly-OH, indica que la impureza dipeptídica formada es difícil de eliminar, como se muestra en la Figura 3, no se observa en el cromatograma Trazas de dipéptidos (Figura 3). Además, 1H RMN no mostró ninguna contaminación de Amox (Fig. 4), lo que demuestra claramente que Amox tiene una gran ventaja en la síntesis de aminoácidos Fmoc.

Figura 3 (A) Cromatogramas de HPLC de Fmoc-Gly-OH y Fmoc-Gly-Gly-OH eluyendo juntos
(B) Cromatograma de HPLC de Fmoc-Gly-OH

Figura 4 Comparación de RMN 1H y 13C de Fmoc-Gly-OH, Fmoc-Amox y Amox
Motivados por estos resultados, se prepararon Fmoc-Phe-OH y Fmoc-Val-OH (miniensayos de 10 g cada uno) utilizando el método descrito anteriormente (Figuras 5 y 6). La pureza del producto final se confirmó mediante HPLC y RMN, y no se observó formación de trazas de dipéptido. También se investigó la importancia del disolvente durante el procesamiento. El producto resultante se disolvió en DCM y se extrajo utilizando agua destilada. El procesamiento con DCM ayudó a eliminar trazas de Amox, lo que dio como resultado un producto puro, como se confirmó mediante RMN (Fig. 7).

Figura 5 (I) A. Cromatograma de HPLC de Fmoc-Phe-OH y Fmoc-Phe-Phe-OH eluyendo juntos
B. Cromatograma de HPLC de Fmoc-Phe-OH
(II) Comparación de RMN de 1H y 13C de Fmoc-Phe-OH, Fmoc-Amox y Amox

Figura 6 (I) A. Cromatograma de HPLC de Fmoc-Val-OH y Fmoc-Val-Val-OH eluyendo juntos
B. Cromatograma de HPLC de Fmoc-Val-OH
(II) Comparación de RMN de 1H y 13C de Fmoc-Val-OH, Fmoc-Amox y Amox

Figura 7 Comparación de los postratamientos de Fmoc-Phe-OH extraído con acetato de etilo y DCM
Estos resultados muestran claramente que Fmoc-Amox tiene grandes ventajas en la síntesis de Fmoc-aminoácidos que son más propensos a reacciones secundarias.
Ejemplo de síntesis de aminoácidos Fmoc:
1. Añadir glicina (131,34 mmol) y carbonato de sodio (106 mmol) al agua purificada, y añadir gota a gota solución de acetona Fmoc-Amox (119,4 mmol) para asegurar que el pH de la solución de reacción se mantenga siempre entre 9 y 10. Después de que la TLC detectara que la reacción Fmoc-Amox se había completado, la solución de reacción se concentró para eliminar la acetona y luego se extrajo con diclorometano para eliminar las impurezas. La fase acuosa se acidificó con HCl 1 N y precipitó una gran cantidad de sólido blanco. Después de la filtración, la torta de filtración se lavó tres veces con agua purificada. El sólido recolectado se recristalizó con acetato de etilo/n-hexano para obtener Fmoc-glicina de alta pureza.
2. Agregue fenilalanina o valina (33 mmol) y carbonato de sodio (75 mmol) al agua purificada y agregue gota a gota solución de acetona Fmoc-Amox (30 mmol) para asegurar que el pH de la solución de reacción se mantenga siempre a 9-10. Después de que la TLC detectó que la reacción Fmoc-Amox se había completado, la solución de reacción se concentró para eliminar la acetona y luego se extrajo con diclorometano para eliminar las impurezas. La fase acuosa se acidificó con HCl 1N y precipitó una gran cantidad de sólido blanco. Después de la filtración, la torta de filtración se lavó tres veces con agua purificada. El sólido recolectado se recristalizó con acetato de etilo/n-hexano para obtener Fmoc-fenilalanina o Fmoc-valina altamente puras.
Desde su creación en 2003, Suzhou Haofan Biological Co., Ltd. se ha centrado en la investigación y el desarrollo y la producción de productos en el campo de los agentes de condensación y los agentes protectores formados por enlaces amida característicos. Tiene una gama completa y una alta calidad. Los clientes son bienvenidos a comprar. Para obtener más productos, visite el sitio web oficial de Haofan Biological.
Aquí compartimos nuestros productos relacionados más populares que pueden interesarle. Si tiene alguna pregunta, póngase en contacto con nosotros; nuestros especialistas le responderán en 24 horas.
Rellene el siguiente formulario y nuestro equipo de ventas estará encantado de ayudarle con un presupuesto sobre reactivos de síntesis peptídica.