Activador multifuncional en química de péptidos y síntesis de fármacos: DSC

8/30/2024

El carbonato de N,N'-disuccinimidilo (DSC para abreviar) es un reactivo multifuncional para la preparación de ésteres activos y un sustituto del fosgeno en diversas reacciones nucleofílicas. La DSC es sensible a la humedad. En un ambiente acuático, se hidratará rápidamente para liberar dióxido de carbono y generar NHS. En ambientes no acuosos, la solubilidad de DSC en varios solventes orgánicos es uno de los factores clave que afectan la eficiencia de su reacción y la eliminación de residuos, especialmente en la síntesis de funcionalización de polisacáridos complejos. La Tabla 1 refleja la solubilidad de DSC en solventes orgánicos comunes. La solubilidad en el producto proporciona una referencia para la selección de las condiciones de reacción.

Tabla 1 Solubilidad de DSC en disolventes orgánicos

Solvente Diclorometano acetona Acetonitrilo Tetrahidrofurano Acetato de etilo Alcohol isopropílico DMF DMSO
Solubilidad (mg/mL) 2 14 34 3 4 2 88 >250

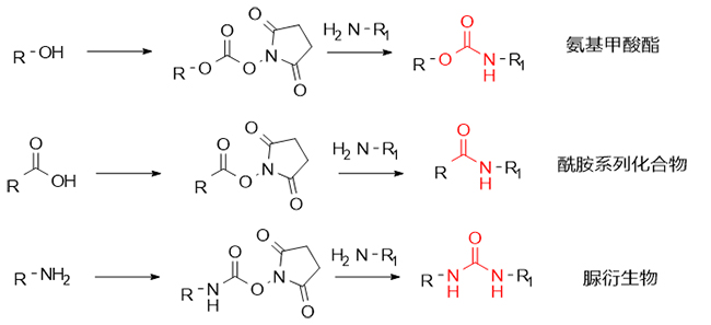
La DSC tiene una amplia gama de aplicaciones en la síntesis de péptidos, el diseño de fármacos, la modificación de ácidos nucleicos y otros campos. Sus suaves condiciones de reacción y sus características de acoplamiento de alta eficiencia hacen que desempeñe un papel importante en la síntesis de derivados de urea y compuestos de carbamato. Al mismo tiempo, la DSC también es un reactivo de acoplamiento de uso común para amidas y tiofosfolípidos. Al promover la formación de carbonatos, ésteres activos de ácido carboxílico y ésteres succinimidílicos de carbamato correspondientes, reaccionando además con moléculas de amina, los derivados de carbamato, amida y urea correspondientes se sintetizan de manera eficiente (como se muestra en la Figura 1).

Vía de síntesis mediada por DSC
Figura 1 Vía de síntesis mediada por DSC

I. Síntesis de compuestos carbamatos

Los compuestos de carbamato han atraído mucha atención debido a su amplia gama de aplicaciones y su importancia en medicina, pesticidas, recubrimientos y síntesis orgánica. La DSC, como un activador eficiente, no solo puede promover la síntesis de compuestos de carbamato a partir de alcoholes y aminoácidos impedidos, sino que también desempeña un papel central en los pasos de síntesis clave de los fármacos de la serie de carbamatos, como el fármaco para el tratamiento del VIH darunavir, y realiza el empalme de fragmentos moleculares complejos en bioquímica.
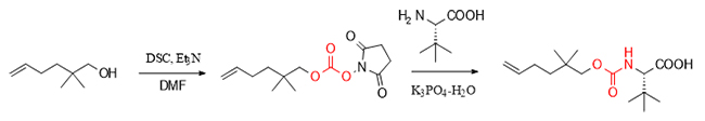
Específicamente, en la síntesis del intermediario clave del fármaco contra la hepatitis C vanirvir, la DSC sintetizó eficientemente el compuesto de carbamato objetivo activando el alcohol y luego reaccionando con L-tert-leucina, que tiene un gran impedimento estérico.

Vía de síntesis mediada por DSC
En la síntesis de la molécula de darunavir, un fármaco contra el VIH, la DSC logró el empalme de dos fragmentos clave formando un éster activado con un grupo hidroxilo.

Vía de síntesis mediada por DSC
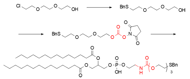
Además, en la síntesis de tiofosfolípidos, la DSC también demostró su excelente rendimiento de acoplamiento. Al activarse con grupos hidroxilo y luego empalmarse con el grupo amino de DMPE, se lograron tiofosfolípidos conectados por enlaces carbamato.
Vía de síntesis mediada por DSC

2. Síntesis de derivados de la urea

Los fragmentos funcionales de urea, como estructuras clave en muchas moléculas de fármacos, desempeñan un papel importante en la regulación de la actividad molecular y las propiedades fisicoquímicas. En la síntesis del agente de imagen radioactivo Piflufolastat F-18, la DSC generó intermediarios de éster de succinimida al reaccionar con grupos amino y, además, construyó fragmentos estructurales de urea, lo que demuestra su flexibilidad y eficiencia en la síntesis de fármacos.
Vía de síntesis mediada por DSC

3. Síntesis de compuestos de la serie amida

Los compuestos amida son los fragmentos estructurales más básicos en el campo de la síntesis de péptidos y también son estructuras clave en el campo de la síntesis de fármacos. Como agente de activación y protección, la DSC ha demostrado su versatilidad en la síntesis química. No solo puede formar carbonatos y ésteres de succinimida, sino también ésteres activos con grupos carboxilo y, además, compuestos amida estables con grupos amina.
Vía de síntesis mediada por DSC
En resumen, la amplia aplicación de la DSC en los campos de la química, la medicina y la biología demuestra su importante posición en la síntesis orgánica. Ya sea para promover la síntesis de moléculas complejas o para su aplicación en reacciones químicas básicas, la DSC ha demostrado su excelente rendimiento en las reacciones y es una herramienta indispensable en manos de los investigadores.

Productos relacionados

Aquí compartimos nuestros productos relacionados más populares que pueden interesarle. Si tiene alguna pregunta, póngase en contacto con nosotros; nuestros especialistas le responderán en 24 horas.

(S)-2-(tert-butoxycarbonyl)pent-4-enoic...

CAS RN

221352-64-3

Appearance

White to off white solid

Purity

>97%

Leer más...

2-hydroxyacetamide

CAS RN

598-42-5

Appearance

White to off-white or pale yellow powder

Purity

Leer más...

4-(TRIFLUOROMETHYL)BENZOIC ANHYDRIDE

CAS RN

25753-16-6

Appearance

Off-white to white crystalline powder

Purity

≥98.0% GC

Leer más...

4-Hydroxy-6-(trifluoromethyl)pyrimidine

CAS RN

1546-78-7

Appearance

White solid

Purity

>98% HPLC

Leer más...

CONTÁCTANOS

Rellene el siguiente formulario y nuestro equipo de ventas estará encantado de ayudarle con un presupuesto sobre reactivos de síntesis peptídica.

Thank you! Your message has been sent.
Unable to send your message. Please fix errors then try again.
Contacto

Search

Palabras clave populares: TBTU, HBTU, HOBT, HOPO

Deja un mensaje

Gracias por visitarnos. Por favor, deje un mensaje y le responderemos por correo electrónico.

Contacto