2/10/2022
Las amidas se utilizan ampliamente en la síntesis química, especialmente en la preparación de amidas mediante acilación por condensación, que se utiliza con frecuencia en la síntesis de laboratorio. La reacción de ácidos carboxílicos y aminas es un método importante para la síntesis de amidas: esta reacción es una reacción de equilibrio, utilizando un exceso de uno de los reactivos o eliminando el agua formada en la reacción, contribuye a cambiar el equilibrio hacia el producto. . Este artículo describe la acilación por condensación de varios ácidos carboxílicos con aminas.
1. En primer lugar
				
Las amidas se utilizan habitualmente en la síntesis química, especialmente para preparar amidas mediante acilación por condensación, que se utiliza a menudo en la síntesis de laboratorio. La reacción de los ácidos carboxílicos con aminas es un método importante para sintetizar amidas. Se trata de una reacción de equilibrio, y el equilibrio se puede modificar utilizando un exceso de uno de los reactivos o eliminando el agua producida en la reacción. Hacia el producto. Este artículo describe la acilación por condensación de varios ácidos carboxílicos y aminas.
			
2. Método sintético de acilación por condensación de amidas.
2.1 Método del cloroformiato de anhídrido mixto
				 
				 La principal aplicación es hacer reaccionar el ácido carboxílico con cloroformiato de etilo o éster isobutílico para formar anhídrido mixto y luego reaccionar con amina para obtener la amida correspondiente. En esta reacción, si el sitio A del ácido está impedido o tiene un grupo atractor de electrones, a veces se detendrá en el paso del anhídrido mixto. Sin embargo, el calentamiento puede promover su reacción, y esta reacción también se puede utilizar para la síntesis de amidas no sustituidas. (figura 1)

Figura 1
2.2 Método de carbonildiimidazol anhídrido mixto
				 
				 Utilice carbonildiimidazol (CDI) para reaccionar con ácido carboxílico para obtener acil imidazoles con mayor actividad. Muchos acil imidazoles tienen cierta estabilidad y pueden separarse a veces. Pero en términos generales, no es necesario separarlos y la solución de reacción reacciona directamente con la amina para preparar la amida correspondiente; el trifluorometano sulfonato dimetilado (CBMIT) obtenido por la reacción de carbonildiimidazol y triflato de metilo se informa en la literatura. ) tiene un mejor rendimiento de condensación. (figura 2)

Figura 2
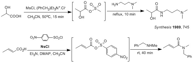
2.3 Método del cloruro de sulfonilo con anhídrido mixto
				 
				 Los ácidos carboxílicos y los cloruros de sulfonilo forman anhídridos mixtos de ácido carboxílico-ácido sulfónico, que reaccionan con aminas para dar las amidas correspondientes [1]. Los cloruros de sulfonilo de uso común incluyen cloruro de metanosulfonilo (MsCl), cloruro de p-toluenosulfonilo (TsCl) y cloruro de p-nitrobencenosulfonilo (NaCl). Debido a sus propiedades de atracción de electrones, el cloruro de p-nitrobencenosulfonilo reacciona con ácidos para generar una mayor actividad. Los anhídridos de ácidos mixtos, las aminas secundarias generales y las aminas terciarias, e incluso las aminas con un gran impedimento estérico pueden reaccionar sin problemas. (imagen 3)

imagen 3
2.4 Método del anhídrido mixto Boc
				 
				 La amida primaria correspondiente se puede obtener haciendo reaccionar el anhídrido mixto obtenido al hacer reaccionar el ácido con anhídrido Boc y amoníaco. (Figura 4)


Figura 4
2.5 Agente de condensación de carbodiimida Método de condensación DCC
				 
				 Generalmente, se utilizan DCC y DMAP juntos. Una de las mayores desventajas de utilizar DCC es que el otro producto de la reacción, la diciclohexilurea, tiene una pequeña solubilidad en la fase orgánica general pero es ligeramente soluble. Por lo tanto, a través de algunos métodos de purificación comúnmente utilizados, recristalización, es difícil eliminarlo completamente mediante cromatografía en columna, etc.; dado que la solubilidad de la diciclohexilurea en éter es relativamente menor que la de otros disolventes, generalmente es necesario destilar el disolvente de reacción y agregar éter para filtrar la mayor parte de la diciclohexilurea. Luego, la diciclohexilurea se procesa más. (Figura 5)

Figura 5
2.6 Método de condensación DIC del agente de condensación de carbodiimida
				 
				 Debido a que la diisopropilurea producida por DIC tiene una mejor solubilidad en solventes orgánicos comunes, generalmente se utiliza más en la síntesis en fase sólida de la química combinatoria. (Imagen 6)

Imagen 6
2.7 Método de condensación de EDCI con agente de condensación de carbodiimida
				 
				 En la actualidad, EDCI es el más utilizado en química médica. Una de sus principales características es que la urea producida después de la reacción es soluble en agua y se puede lavar fácilmente. Generalmente, EDCI se utiliza en combinación con HOBt (nota: esta reacción HOBt es generalmente indispensable, de lo contrario puede provocar que el rendimiento de condensación sea demasiado bajo). (Figura 7)

Figura 7
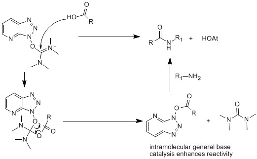
2.8 Método del agente de condensación de las sales de carbenio
				 
				 En la actualidad, se utilizan comúnmente el hexafluorofosfato de O-(7-azabenzotriazol-1-il)-bis(dimetilamino)carbenio (HATU), el hexafluorofosfato de O-(benzotriazol-1-Base)-bis(dimetilamino)carbenio (HBTU), el hexafluorofosfato de O-(5-clorobenzotriazol-1-il)-bis(dimetilamino)carbenio (HCTU), el tetrafluoroborato de O-(benzotriazol-1-il)-bis(dimetilamino)carbenio (TBTU), el tetrafluoroborato de O-(N-succinimida)-di(dimetilamino)carbenio (TSTU), el tetrafluoroborato de O-(N-endo-5-norcanfeno-2,3-carbodiimida)-bis(dimetilamino)carbono (TNTU), etc. (Figura 8)

Figura 8
HATU es el agente de condensación de sal de carbenio más activo y se utiliza a menudo cuando otros agentes de condensación no funcionan bien. HBTU se puede utilizar en la mayoría de las reacciones de condensación, sin embargo, su bajo rendimiento es la principal razón para limitar su uso en la producción en masa. HCTU tiene una alta actividad y puede reemplazar a HATU para la producción industrial. Su alta actividad se debe al intermedio Cl-HOBt más activo. TSTU y TNTU se pueden utilizar para reacciones de amidación en disolventes acuosos. Si el grupo dimetilamino de HATU y HBTU se cambia a tetrahidropirrolilo, se puede obtener el carbono O-(7-azabenzotriazol-1-il)-di(tetrahidropirrolilo) con mayor actividad hexafluorofosfato de onio (HAPyU), hexafluorofosfato de O-(benzotriazol-1-il)-di(tetrahidropirrolil)carbenio (HBPyU).
El uso de un agente de condensación de sal de carbenio para la condensación de amidas permite obtener principalmente el éster activo correspondiente en un solo paso a través de transferencia intramolecular. La reacción de condensación de HATU se toma como ejemplo para ilustrar su mecanismo de reacción. (Figura 9)

Figura 9
2.9 Agentes de condensación de las sales de fosfonio onio
				 
				 El más antiguo es el reactivo hexafluorofosfato de benzotriazol-1-iloxi-tris(dimetilamino)fosfonio (BOP), que es un subproducto cancerígeno de la hexametilfosforamida (HMPA). En los últimos años, ha sido reemplazado por el más activo hexafluorofosfato de benzotriazol-1-iloxi-tris(tetrahidropirrolil)fosfonio (PyBOP), que no produce subproductos cancerígenos. (Figura 10)

Figura 10
El PyBOP es un agente de condensación relativamente fuerte. En general, se puede utilizar para obtener mejores resultados cuando otros agentes de condensación no condensan bien. Por ejemplo, se puede utilizar PyBOP para condensar aminoácidos con cloruro de amonio para obtener las aminoamidas correspondientes. (Figura 11)

Figura 11
2.10 El agente de condensación de fósforo orgánico
				 
				 DECP se utiliza a menudo en la síntesis de una pequeña cantidad de polipéptidos, y el BOP-Cl es especialmente adecuado para la síntesis de aminoácidos, con un buen rendimiento y racemización. Sin embargo, la desventaja es que a menudo se obtienen oxazolidinas aciladas cuando la reactividad de la amina es baja. La escasa solubilidad del BOP-Cl conduce a un tiempo de reacción más largo, a veces de hasta cuatro o cinco días, y a menudo se utiliza DMF como disolvente de reacción. (Figura 12)

Figura 12
Utilice DPP-Cl como agente condensante para sintetizar amidas [2]: la Figura 13 muestra solo un rendimiento del 15 % con DCC, pero un rendimiento del 94 % con DPP-Cl.

Figura 13
2.11 Otros agentes de condensación
				 
				 También se pueden utilizar para la condensación de amidas trifenilfosfina-polihalometanos[3], trifenilfosfina-hexacloroacetona[4], trifenilfosfina-NBS[5], etc. (Figura 14).

Figura 14
Se informa que el DMTMM se utiliza como agente de condensación y la reacción se puede llevar a cabo en alcohol o agua. (Figura 15)

Figura 15
La trifenilfosfina-hexacloroacetona (Fig. 16) y la trifenilfosfina-NBS (Fig. 17) también se pueden utilizar para sintetizar amidas.

Figura 16

Figura 17
Referencias:
[1] SJ Lau, JP Laussac, B Sarkar. Biochem J. 1989; 257(3): 745-750
[2] Böcker W, Dralle H, Hüsselmann H, Bay V, Brassow M. 1980; 385(2): 187–200.
[3] A Ignatious, J Rahul. 1990; 232(2): 1105-1112.
[4] GB Villeneuve, TH Chan.1997;38: 6489–6492.
[5] Higuchi H, Shimizu K, Ojima J, Sugiura K.1995 36: 5359-5362.
Aquí compartimos nuestros productos relacionados más populares que pueden interesarle. Si tiene alguna pregunta, póngase en contacto con nosotros; nuestros especialistas le responderán en 24 horas.
Rellene el siguiente formulario y nuestro equipo de ventas estará encantado de ayudarle con un presupuesto sobre reactivos de síntesis peptídica.