Grupos protectores de síntesis orgánica: protección y desprotección de hidroxilo de alcohol (2)

3/29/2024

En el artículo anterior, analizamos la aplicación de grupos protectores de éter en la protección de grupos hidroxilo. En este artículo, analizaremos más a fondo la estrategia de protección de hidroxilo, que incluye principalmente la aplicación de grupos protectores de éster y la protección de dioles. Al analizar las características y los escenarios de aplicación de varios grupos protectores, esperamos profundizar su comprensión de las estrategias de protección de hidroxilo, para que pueda tener opciones más flexibles en el proceso de síntesis.

1. Grupos protectores de éster (grupos protectores de acilo)

Los grupos protectores éster son un método económico y eficaz para proteger los grupos hidroxilo. Se pueden dividir a grandes rasgos en ésteres de ácidos carboxílicos, carbonatos y ésteres de ácidos sulfónicos, entre los cuales los grupos protectores de ésteres de ácidos carboxílicos son los más utilizados.

1. Ésteres de ácido carboxílico
Los grupos protectores de ésteres de ácido carboxílico comunes incluyen acetilo (Ac), benzoílo (Bz), pivaloílo (Piv), etc., que se utilizan ampliamente en la síntesis de la química del azúcar, la química de los péptidos, etc. Los grupos acilo son generalmente similares. El correspondiente cloruro de acilo o anhídrido de ácido reacciona con un alcohol en presencia de una base (principalmente piridina y trietilamina) para obtener el éster correspondiente. Si la reacción es demasiado lenta, especialmente para sustratos con gran impedimento estérico, se puede agregar DMAP para acelerar la reacción. Además, en sustratos polihidroxilados, el cloruro de pivaloilo puede proteger selectivamente los alcoholes primarios.

muy fino

En general, los grupos éster se pueden eliminar mediante hidrólisis en condiciones alcalinas, como K2CO3, NH3, hidrato de hidrazina, etc. El orden de la capacidad de hidrólisis de los grupos acilo mencionados anteriormente es aproximadamente: pivaloilo Piv <benzoilo Bz <acetil Ac. Aprovechando la dificultad de la hidrólisis de estos grupos protectores, el grupo acetilo puede eliminarse selectivamente en presencia de pivaloílo. Las condiciones y ejemplos comunes para la introducción y eliminación son los siguientes:

(1)
Protección acetilo: ①: Ac2O o AcCl, Py, DMAP; ②: Ac2O, TMSOTf (Cat.), CH2Cl2, 0℃;

muy fino
Desprotección: ①: K2CO3, MeOH/H2O, 20 ℃; ②: NH2NH2, MeOH

muy fino



(2)
Protección de benzoilo: BzCl, Et3N, CH2Cl2, 0 ℃

muy fino
Desprotección: ①: NaOH, MeOH; ②: Et3N, MeOH, H2O (1:5:1), reflujo
muy fino
(3)
Protección de pivaloilo: ①: PivCl, Py, 0-25 ℃, DCM; ②: Piv2O, MgBr2, TÉ, CH2Cl2, ta;

muy fino
Desprotección: ①: Bu4N+OH-, 20℃; ②: MeONa, MeOH

2. carbonato

muy fino
El carbonato también es un medio para proteger los grupos hidroxilo. Puede eliminarse mediante hidrólisis alcalina o utilizando un segundo sustituyente alquilo. Los grupos protectores comúnmente utilizados incluyen 9-fluorenil metoxicarbonilo (-Fmoc), 2,2,2-tricloroetoxicarbonilo (-Troc), etc. Las condiciones y ejemplos comunes para la introducción y eliminación son los siguientes:

(1) 9-fluorenil metoxicarbonilo:
Protección : Fmoc-Cl, Py, 0℃; Desprotección: ①: Et3N, Py; ②: DBU, CH2Cl2

muy fino

(2) 2,2,2-tricloroetoxicarbonilo:
Protección: ①: Troc-Cl, Py, 20 ℃; ②: Troc-Cl, Et3N, DMAP, CH2Cl2
Desprotección: ①: Zn/AcOH, 20 ℃; ②: K2CO3, MeOH/H2O

muy fino
muy fino

3. sulfonato

Los grupos protectores de sulfonato se utilizan principalmente para proteger compuestos de azúcar y también se pueden utilizar en ciertos compuestos específicos. Los más utilizados incluyen metanosulfonilo (Ms), p-toluenosulfonilo (Ts), etc. Sin embargo, en muchos casos, es más probable que la introducción de sulfonilo (OM, OT) reaccione como grupo saliente.

muy fino

(1) Metanosulfonilo:
Protección: Ms-Cl, Et3N, CH2Cl2, 0℃; Desprotección: Na(Hg), i-PrOH

(2) p-Toluenosulfonilo
Protección: Ts-Cl, Py, CH2Cl2, 0℃; Desprotección: hv, Et3N, MeOH

muy fino

2. Protección de dioles

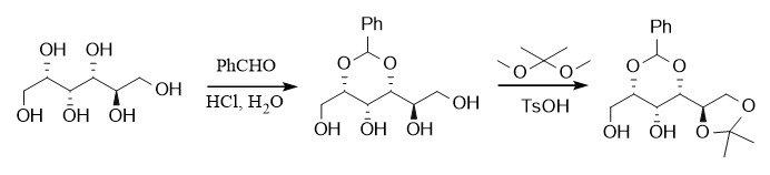
Los dioles (1,2-dioles y 1,3-dioles) son muy comunes en el diseño sintético y en compuestos naturales como los macrólidos, y se han derivado muchos grupos protectores correspondientes. La protección de los dioles se consigue normalmente mediante el uso de aldehídos y cetonas. De manera similar, los aldehídos y las cetonas también pueden protegerse mediante dioles. Los grupos protectores comunes se denominan acetales y cetales. Entre ellos, el dioxolano y el dioxano son los grupos protectores más comunes para los dioles. Según los factores de estabilidad termodinámica, los grupos protectores de acetal tienden a formar un anillo de seis miembros, concretamente dioxano, mientras que es más probable que los grupos protectores de cetal formen un anillo de cinco miembros. Por ejemplo, el acetal más comúnmente utilizado es el grupo protector bencilideno, y los métodos de introducción incluyen PhCHO/ZnCl2 o H+, PhCH(OMe)2/TsOH/DMF, etc.; el cetal más comúnmente utilizado es el grupo protector acetona acetal, que se introduce mediante catálisis ácida utilizando acetona o 2,2-dimetoxipropano.

Los acetales y cetales son generalmente sensibles a los ácidos y pueden desprotegerse en condiciones ácidas. Además, el grupo protector de bencilideno también puede eliminarse mediante hidrogenólisis.

muy fino

Además de acetales y cetales, también se pueden utilizar carbonatos para proteger los dioles. Por ejemplo, el trifosgeno reacciona con 1,2-dioles en presencia de una base (Py, Et3N) para formar carbonatos, como:
muy fino

Este artículo presenta principalmente la aplicación de grupos protectores de éster en la protección de hidroxilo y la protección y desprotección de dioles, con el objetivo de ampliar la gama de opciones para los investigadores en trabajos sintéticos. En el funcionamiento real, los investigadores pueden elegir estrategias de protección y desprotección adecuadas según condiciones experimentales específicas para lograr una mayor eficiencia de síntesis.
Desde su creación en 2003, Haofan Bio se ha centrado en la investigación, el desarrollo y la venta de agentes de condensación, agentes protectores, fármacos peptídicos y materiales de membranas de liposomas. La empresa ha lanzado ahora una variedad de reactivos protectores, como Fmoc-Cl/Fmoc-Osu, Troc-Cl/Troc-Osu, Tr-Cl, DMT-Cl, etc. Esperamos que los clientes interesados ​​nos llamen para realizar consultas y discutir oportunidades de cooperación.


Productos relacionados

Aquí compartimos nuestros productos relacionados más populares que pueden interesarle. Si tiene alguna pregunta, póngase en contacto con nosotros; nuestros especialistas le responderán en 24 horas.

(S)-2-(tert-butoxycarbonyl)pent-4-enoic...

CAS RN

221352-64-3

Appearance

White to off white solid

Purity

>97%

Leer más...

2-hydroxyacetamide

CAS RN

598-42-5

Appearance

White to off-white or pale yellow powder

Purity

Leer más...

4-(TRIFLUOROMETHYL)BENZOIC ANHYDRIDE

CAS RN

25753-16-6

Appearance

Off-white to white crystalline powder

Purity

≥98.0% GC

Leer más...

4-Hydroxy-6-(trifluoromethyl)pyrimidine

CAS RN

1546-78-7

Appearance

White solid

Purity

>98% HPLC

Leer más...

CONTÁCTANOS

Rellene el siguiente formulario y nuestro equipo de ventas estará encantado de ayudarle con un presupuesto sobre reactivos de síntesis peptídica.

Thank you! Your message has been sent.
Unable to send your message. Please fix errors then try again.
Contacto

Search

Palabras clave populares: TBTU, HBTU, HOBT, HOPO

Deja un mensaje

Gracias por visitarnos. Por favor, deje un mensaje y le responderemos por correo electrónico.

Contacto