Reactivos de diagnóstico in vitro: fosfato de p-nitrofenilo disódico

12/28/2023

1. Introducción a los compuestos

proyecto Fosfato disódico de p-nitrofenilo
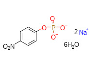
CAS 333338-18-4
Peso molecular 371.2
Fórmula estructural muy fino
Fórmula química C6H4NO6P 2Na 6H2O
Exterior Sólido blanco a amarillo pálido


El fosfato de p-nitrofenilo disódico, también conocido como hexahidrato de sal disódica de fosfato de 4-nitrofenilo, abreviado como PNPP, es un intermedio químico importante en el campo de la síntesis de pesticidas farmacéuticos y un reactivo de fosforilación en la síntesis de nucleótidos. El PNPP se utiliza ampliamente en biomedicina. Se utilizó por primera vez en la práctica clínica para detectar la actividad de la fosfatasa alcalina en suero. Con el desarrollo de la investigación, el PNPP también se puede utilizar como indicador general de la actividad de la fosfohidrolasa, principalmente como marcador de la actividad de la fosfatasa alcalina en el ensayo inmunoabsorbente ligado a enzimas (ELISA) y la espectrofotometría convencional. La siguiente es una introducción a sus principios y aplicaciones para comprender mejor su valor de aplicación en la investigación biomédica.

2. Principio y aplicación

El principio de funcionamiento del PNPP es que el fosfato de p-nitrofenilo disódico incoloro se descompone bajo la catálisis de la fosfatasa alcalina, y el p-nitrofenol generado se convierte en anión p-nitrofenol en condiciones alcalinas, lo que resulta en un cambio en la dirección de onda larga, que Es decir, el producto soluble en agua es amarillo, por lo que el propósito de monitorear el proceso de reacción se puede lograr monitoreando la absorción alrededor de 410 nm.

La aplicación de PNPP en biomedicina es de gran importancia para el diagnóstico y tratamiento de enfermedades. Específicamente, puede usarse para determinar la actividad catalítica de diversas fosfatasas.

La fosfatasa alcalina (abreviada como ALP), también conocida como fosfatasa alcalina, es una de las enzimas marcadoras comúnmente utilizadas en reactivos de diagnóstico in vitro. Se distribuye ampliamente en tejidos humanos como hígado, huesos, intestinos, riñones y placenta. Es una enzima excretada del hígado a la bilis. Los más comunes incluyen la fosfatasa alcalina intestinal, la fosfatasa alcalina no específica de tejido, la fosfatasa alcalina placentaria, etc. En condiciones alcalinas, puede catalizar la hidrólisis de los enlaces fosfato, exponiendo así los grupos hidroxilo en las moléculas del sustrato. Dichos sustratos incluyen ácidos nucleicos (ADN, ARN), proteínas, alcaloides, etc. En biología, los cambios en el nivel de fosfatasa alcalina (ALP) y el nivel de su actividad se utilizan a menudo como indicador para detectar el comportamiento de los tejidos. La detección de fosfatasa alcalina se puede utilizar para diagnosticar enfermedades como la función hepática anormal, la osteoporosis y la diabetes.

Además, PNPP es un sustrato ELISA de uso común para la detección de fosfatasa alcalina. ELISA es una técnica de inmunoensayo de uso común que se puede utilizar para detectar moléculas biológicas como proteínas, hormonas, citoquinas, etc. en muestras. La detección ELISA tiene las ventajas de una alta sensibilidad, una gran especificidad y un funcionamiento sencillo, por lo que se utiliza ampliamente en la investigación biomédica. El PNPP, como sustrato para la detección ELISA de fosfatasa alcalina, juega un papel importante en la investigación biomédica.

En resumen, el PNPP es un reactivo de diagnóstico in vitro muy popular. Este artículo presenta brevemente la aplicación de PNPP en biomedicina. Además, el PNPP también se puede utilizar para la detección de residuos de pesticidas, etc. Es un intermediario químico importante en el campo de la medicina y los pesticidas. Debido a la aplicación del PNPP en el campo biomédico, su calidad tiene un impacto importante en las pruebas médicas. Las siguientes figuras son las propiedades de la calidad calificada (una) y no calificada (dos). Haofan Bio suministra actualmente PNPP y su calidad cumple o supera los estándares de la industria.

muy fino

Además, la empresa está comprometida con la investigación, el desarrollo y la producción de reactivos de síntesis de amidas y péptidos. Después de veinte años de desarrollo y acumulación, la empresa se ha convertido en el proveedor más grande y completo del mundo de reactivos de síntesis de amidas. Los amigos pueden llamar para realizar consultas.

Productos relacionados

Aquí compartimos nuestros productos relacionados más populares que pueden interesarle. Si tiene alguna pregunta, póngase en contacto con nosotros; nuestros especialistas le responderán en 24 horas.

(S)-2-(tert-butoxycarbonyl)pent-4-enoic...

CAS RN

221352-64-3

Appearance

White to off white solid

Purity

>97%

Leer más...

2-hydroxyacetamide

CAS RN

598-42-5

Appearance

White to off-white or pale yellow powder

Purity

Leer más...

4-(TRIFLUOROMETHYL)BENZOIC ANHYDRIDE

CAS RN

25753-16-6

Appearance

Off-white to white crystalline powder

Purity

≥98.0% GC

Leer más...

4-Hydroxy-6-(trifluoromethyl)pyrimidine

CAS RN

1546-78-7

Appearance

White solid

Purity

>98% HPLC

Leer más...

CONTÁCTANOS

Rellene el siguiente formulario y nuestro equipo de ventas estará encantado de ayudarle con un presupuesto sobre reactivos de síntesis peptídica.

Thank you! Your message has been sent.
Unable to send your message. Please fix errors then try again.
Contacto

Search

Palabras clave populares: TBTU, HBTU, HOBT, HOPO

Deja un mensaje

Gracias por visitarnos. Por favor, deje un mensaje y le responderemos por correo electrónico.

Contacto