Un nuevo reactivo de condensación logra un doble avance en estructura y rendimiento

10/12/2025

En los últimos años, el mercado mundial de fármacos peptídicos ha experimentado un rápido crecimiento sostenido, demostrando ventajas únicas en múltiples áreas terapéuticas. Sin embargo, los sistemas sintéticos existentes siguen enfrentándose a importantes obstáculos técnicos, entre los que se incluyen los retos que plantean el control de las reacciones secundarias y el mantenimiento de la pureza quiral. Como reactivo fundamental para la construcción de enlaces amida, su rendimiento influye directamente en la eficiencia de la formación de enlaces, la pureza del producto y el rendimiento. En consecuencia, el desarrollo innovador de reactivos para la síntesis de péptidos ha suscitado un gran interés.

Entre los numerosos reactivos de condensación, los reactivos de condensación iónica como el HATU se utilizan ampliamente debido a su alta reactividad y excelente supresión de la racemización. Sin embargo, estos reactivos contienen enlaces heteroatómicos de alta energía (como los enlaces NN y NO), lo que resulta en una baja estabilidad térmica y posibles riesgos de seguridad. Para solucionar esto, el equipo de Kunishima desarrolló un nuevo reactivo de condensación, el hexafluorofosfato de 2-(4,6-dimetoxi-1,3,5-triazin-2-il)-1,1,3,3-tetrametiluronio, abreviado como DMT-TU.

1. Características moleculares del DMT-TU:

El DMT-TU combina de forma innovadora la alta reactividad de la estructura de tetrametilurea y la facilidad de salida de la estructura de triazina del DMTMM (véase la estructura en la Figura 1). Presenta una alta reactividad y la capacidad de inhibir la racemización. La molécula no contiene enlaces heteroatómicos de alta energía, lo que mejora su estabilidad. Experimentos han demostrado que se mantiene estable tras un año de almacenamiento en refrigeración.

Sinergia poderosa
Figura 1 Estructura de DMT-TU

Además, se evaluaron las propiedades térmicas del DMT-TU y otros reactivos de condensación mediante calorimetría diferencial de barrido (DSC). Los datos de la temperatura mínima de inicio de descomposición T0 y el calor total liberado Q son los siguientes:

Sinergia poderosa

Como se puede ver en la tabla, la temperatura de descomposición de DMT-TU es comparable a la de HATU, pero su calor total liberado es significativamente menor que el del reactivo de condensación, lo que indica que tiene mayor seguridad durante su uso y almacenamiento.

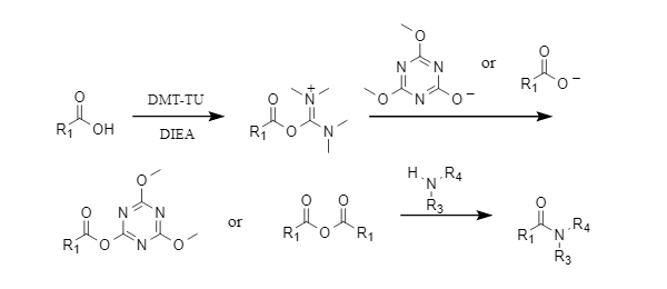
2. Mecanismo de acción del DMT-TU:

El mecanismo de acción del DMT-TU es el siguiente: el ácido carboxílico reacciona con el DMT-TU en presencia de una base para formar O-acilisourea, que luego reacciona con triazinato o carboxilato para formar el éster de triazina o anhídrido carboxílico correspondiente y, finalmente, se produce la aminólisis para obtener un compuesto de amida.

Sinergia poderosa
Figura 2 Mecanismo de acción de DMT-TU

3. Funciones del DMT-TU:

1. Alta capacidad de acoplamiento:
El DMT-TU puede formar enlaces amida de forma eficiente y es adecuado tanto para sustratos aromáticos como alifáticos, con rendimientos de reacción generalmente superiores al 80 % (véase la figura para más detalles). En la reacción del ácido fenilpropiónico como sustrato modelo con anilina/dietilamina, se obtuvieron rendimientos superiores al 90 % utilizando DMT-TU. En las mismas condiciones, los rendimientos de amida correspondientes utilizando DMTMM fueron del 73 % y el 68 %, respectivamente. Esto demuestra que el DMT-TU presenta una reactividad superior.

Sinergia poderosa
Figura 3 Reacción de condensación promovida por DMT-TU

2. Excelente capacidad de inhibición de la racemización.
Además de una alta reactividad, un excelente reactivo de condensación también debe poseer una fuerte capacidad de inhibición de la racemización. En experimentos comparativos con sustratos de aminoácidos racemizables, el DMT-TU demostró una excelente inhibición de la racemización, logrando una tasa de racemización menor que la de reactivos tradicionales como HATU y HBTU (véase la Figura 4).

Sinergia poderosa

En resumen, el nuevo reactivo de condensación DMT-TU combina alta actividad y alta seguridad gracias a su ingenioso diseño molecular. Es un reactivo de condensación industrial con potencial y aporta nuevas ideas para el desarrollo de la tecnología de síntesis de péptidos. Posee un importante valor científico y de aplicación.

Tras 22 años de incansables esfuerzos y acumulación, Haofan Bio ha seguido consolidando su presencia en el campo de los reactivos globales para la síntesis de péptidos y se ha convertido en una empresa líder con una amplia gama de productos personalizados y ventajas significativas en la producción a gran escala, que satisfacen las necesidades específicas de diversos clientes. Invitamos cordialmente a los clientes interesados ​​en este producto a que se pongan en contacto con nosotros para obtener más información y explorar oportunidades de colaboración.

Referencias:
[1] Mizushima, G.; Fujita, H.; Kunishima, M. Desarrollo de un reactivo de condensación deshidratante basado en triaziniluronio sin enlaces heteroatómicos[J]. J. Org. Chem. 2024, 89, 18660−18664.


Productos relacionados

Aquí compartimos nuestros productos relacionados más populares que pueden interesarle. Si tiene alguna pregunta, póngase en contacto con nosotros; nuestros especialistas le responderán en 24 horas.

(S)-2-(tert-butoxycarbonyl)pent-4-enoic...

CAS RN

221352-64-3

Appearance

White to off white solid

Purity

>97%

Leer más...

2-hydroxyacetamide

CAS RN

598-42-5

Appearance

White to off-white or pale yellow powder

Purity

Leer más...

4-(TRIFLUOROMETHYL)BENZOIC ANHYDRIDE

CAS RN

25753-16-6

Appearance

Off-white to white crystalline powder

Purity

≥98.0% GC

Leer más...

4-Hydroxy-6-(trifluoromethyl)pyrimidine

CAS RN

1546-78-7

Appearance

White solid

Purity

>98% HPLC

Leer más...

CONTÁCTANOS

Rellene el siguiente formulario y nuestro equipo de ventas estará encantado de ayudarle con un presupuesto sobre reactivos de síntesis peptídica.

Thank you! Your message has been sent.
Unable to send your message. Please fix errors then try again.
Contacto

Search

Palabras clave populares: TBTU, HBTU, HOBT, HOPO

Deja un mensaje

Gracias por visitarnos. Por favor, deje un mensaje y le responderemos por correo electrónico.

Contacto